「支払った人が支払いを受ける」から「適切な人だけが受け取る」へ: 次世代の Launchpad は状況を大きく変えるでしょう。
原作者:ニシル・ジェイン
オリジナル翻訳:Block unicorn
序文
ICO が復活し、ローンチパッドは皆、利益の一部を狙って ICO に群がっています。
Coinbaseは10月にEchoを買収し、今月初めにトークン販売プラットフォームを立ち上げました。9月にはKrakenがLegionと提携しました。一方、BinanceはBuildlpadと緊密な関係を築いており、PumpFunはSpotlightを通じてユーティリティトークンの発行を試みています。
こうした動きは、ICO に対する投資家の関心と信頼が回復しつつある時期に起きている。
Umbra PrivacyはMetaDAOで75万ドルの目標額に対し1億5,600万ドルを調達しました。一方、YieldbasisはLegionで1日足らずで98倍の超過応募を記録しました。Aria ProtocolはBuildpadで20倍の超過応募を記録し、3万人以上の参加者を集めました。
ICO が公募価格の数倍の資金を調達し始めると、ノイズを除去することが特に重要になります。
前回の記事「暗号通貨セクターにおける資本形成」で、サウラブは暗号通貨分野における資本形成がどのように進化してきたかを解説しました。彼は、Flying Tulipの投資モデルやMetaDAOのICOといった新しい資金調達構造が、チーム、投資家、そしてユーザー間の潜在的な利益相反をどのように解決しようとしているかを考察しました。それぞれの新しいモデルは、関係者間の利益のバランスをより良く保つと主張しています。
これらのモデルの成功はまだ不透明ですが、様々なローンチパッドが投資家、ユーザー、チーム間の対立を様々な方法で解決しようと試みています。彼らは、パブリックトークンセールにおいてプロジェクトチームが独自の投資家を選択できるようにすることで、より選択的な投資家上限を実現しています。
本日の記事では、投資家スクリーニングの理由と方法についてご案内します。
選ばれた保有者には優先権が与えられます。
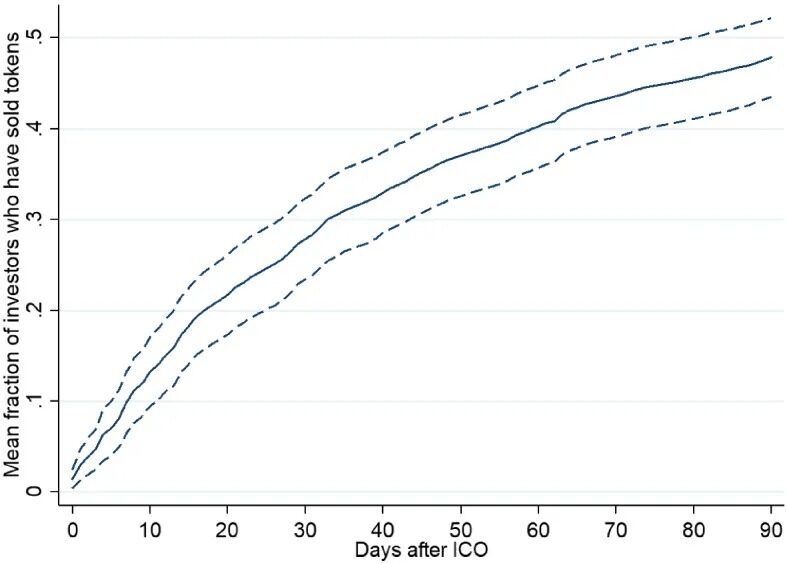
2017年から2019年にかけて、ICO投資は主に先着順モデルを採用し、プロジェクトの初期段階で短期的な利益獲得を狙う、低い評価額で参入を試みる投資家が殺到しました。300以上のICOプロジェクトの調査データによると、投資家の30%がプロジェクト開始から1ヶ月以内に撤退しています。

投資家にとって短期的な利益は常に魅力的ですが、プロジェクトチームは資金を求めるすべてのウォレットを受け入れる義務はありません。真に先見性のあるチームは、長期的な成長にコミットする投資家を選別し、ICO参加者を選定できるべきです。
以下は、Eigencloud の Ditto が先着順 (FCFS) 販売モデルからコミュニティ中心の販売システムへの移行について説明している内容です。
今回のICOの問題点は、最終的に「レモン市場」の罠に陥ってしまったことです。あまりにも多くのICOプロジェクトが登場し、その多くが詐欺や罠であったため、質の高いプロジェクトと質の低いプロジェクトを見分けることが困難になってしまいました。
Launchpadがすべてのプロジェクトを厳格に審査できなかったため、ICOに対する投資家の信頼は低下しました。最終的にICOの数は急増しましたが、それらを支援するための資金は不足していました。
今では状況が再び変わり始めているようです。
CobieのEcho資金調達プラットフォームは、ローンチ以来、300以上のプロジェクトで2億ドルを調達しました。一方、独立した資金調達イベントでは、数百万ドルがわずか数分で消えてしまった例もあります。Pump.funはICOを成功させ、12分足らずで5億ドルを調達しました。PlasmaはXPLの公募で3億7,300万ドルを調達し、目標額5,000万ドルを達成しました。

この変化はトークン発行だけでなく、Launchpad自体にも顕著に表れています。Legion、Umbra、Echoといった新興プラットフォームは、創業者と投資家にとって、より高い透明性、より明確なメカニズム、そしてより堅牢なアーキテクチャを約束しています。これらのプラットフォームは情報の非対称性を排除し、投資家が良いプロジェクトと悪いプロジェクトを見分けられるよう支援しています。今日、投資家はプロジェクトの評価額、資金調達額、そして関連する詳細情報を明確に理解できるため、損失を生む投資に陥るリスクをより軽減できます。
これにより、ICO投資への資本の回帰が実現し、プロジェクトの申込数は予想をはるかに上回りました。
新世代のLaunchpadは、プロジェクトの長期ビジョンに沿った投資コミュニティの構築にも取り組んでいます。
CoinbaseはEchoの買収に続き、独自のトークン販売プラットフォームの立ち上げを発表し、ユーザーとプラットフォームの適合性スクリーニングプロセスを重視しています。現在、同社はユーザーのトークン販売パターンを追跡することでこのプロセスを実現しています。販売開始から30日以内にトークンを売却したユーザーには割り当て量が減額され、より詳細な適合性指標は近日中に発表される予定です。

コミュニティ中心の配布哲学への移行は、コミュニティメンバーを中心に据えた Monad の綿密に設計されたエアドロップ プログラムと MegaETH の ICO 配布プログラムに明確に示されています。
MegaETHは約28倍の申込超過となりました。プロジェクトでは、プロジェクトの理念に最も合致すると思われるトークン保有者リストを絞り込むため、ユーザーにソーシャルメディアのプロフィールとウォレットをオンチェーン履歴にリンクさせることが求められました。

これが私たちが目にしている変化です。ICOによる資金が再び潤沢になると、プロジェクトチームはその資金を誰に配分するかを選択する必要があります。新世代のLaunchpadは、この問題に対処するために開発されました。
次世代Launchpad
現在、Legion、Buildlpad、MetaDAO、Kaitoといったプラットフォームが登場し、新しいタイプのローンチパッドを形成しています。最初のステップは、ICOプロジェクトを審査し、ローンチパッドプラットフォームに対する投資家の信頼を確保することです。次のステップは、参加する投資家を審査し、資金配分がプロジェクト基準に準拠していることを確認することです。
Legionは、パフォーマンスに基づく分配理念を堅持し、最も包括的なコミュニティメンバーランキングシステムを提供しています。このプラットフォームは17回のトークンオファリングを成功させており、直近のオファリングでは約100倍の申込超過率を記録しました。
申込超過販売においてトークンが適切な人々に届くように、各参加者に Legion スコアが割り当てられます。これは、プロトコル全体でのオンチェーン履歴とアクティビティ、開発者の資格 (GitHub への貢献など)、社会的影響、ネットワーク リーチ、プロジェクトへの貢献予定に関する定性的な発言を考慮に入れます。
Legion で製品をリリースする創設者は、開発者のエンゲージメント、ソーシャルな影響力、KOL (キー オピニオン リーダー) のエンゲージメント、コミュニティ教育への貢献などの重み付けされた指標を割り当て、それに応じて重みを割り当てることができます。
Kaitoはよりターゲットを絞ったアプローチを採用し、Twitterでの議論に積極的に参加する「スピーカー」にリソースの一部を割り当てています。エンゲージメントは、ユーザーの投票の信頼性と発言力、ステークされた$KAITOの量、そしてジェネシスNFTの希少性に基づいて重み付けされます。プロジェクトチームは、これらの優先サポータータイプから選択できます。
Kaitoのモデルは、プロジェクトがソーシャルメディア上で影響力のある投資家を初期段階の投資家として引き付けるのに役立ちます。この戦略は、初期の露出度に大きく依存するプロジェクトに特に有効です。
Buildlpadのコアコンセプトは資金配分に基づいています。ユーザーがステークする資金が多いほど、トークンセールに参加した際に受け取るトークンも多くなります。ただし、これは資金のあるウォレットのみが参加できることを意味します。
この資本ベースのシステムのバランスを取るために、Buidlpad は、コンテンツの作成、教育アウトリーチ、ソーシャル メディアのプロモーションなどのコミュニティ活動に基づいて、リーダーボード ポイントと追加の報酬を授与する「チーム システム」を導入しました。
4つのローンチパッドの中で、MetaDAOは最もユニークです。MetaDAOのICOで調達された資金はオンチェーンの金庫に保管され、「Futarchy」と呼ばれる市場ベースのメカニズムによって管理されます。Futarchyは基本的に原資産となるトークンの先物市場ですが、取引は価格ではなくガバナンスの決定に基づいています。
調達された資金はすべてオンチェーンの金庫に保管され、すべての支出は条件付き市場によって検証されます。チームは資金の使途に関する計画を提案する必要があり、トークン保有者はこれらの行動が価値を生み出すかどうかに賭けます。取引は市場の合意に達した場合にのみ完了します。
MetaDAOのICOはパーミッションレスで、投資家の参加に完全にオープンであり、各投資家は投資額に基づいてトークンの配分を受けました。しかし、コミュニティの構築とトークン保有者間の利害調整はICO後に起こりました。各提案はFutarchy内のマーケットプレイスとして機能し、トレーダーは提案が承認されるとトークンを売買することができました。その結果、トークン保有者コミュニティは最終決定に基づいて進化しました。
この記事はキュレーションされた配分スキームに焦点を当てていますが、プロジェクトチームの観点から見ると、ICOの開始を決定する前に、プロジェクトの選定基準、創設者の柔軟性、プラットフォーム手数料、開始後のサポートなど、他の多くの要素を考慮する必要があります。以下の比較表は、これらの要素を一目で理解するのに役立ちます。

Web3は、検証可能な評判システムに基づくインセンティブメカニズムを通じて、ユーザー、トレーダー、そして貢献者を結びつけることができます。悪質な参加者を排除し、適切な参加者を引き付けるメカニズムがなければ、ほとんどのコミュニティトークンセールは未成熟のままとなり、信奉者と非信奉者が混在することになります。現在のローンチパッドは、チームにとってトークンエコノミーを改善し、正しい第一歩を踏み出す機会となります。
プロジェクトには、エコシステム内の適切なユーザーを特定し、その具体的な貢献に報いるツールが必要です。これには、活発なコミュニティに支えられた影響力のあるユーザーや、他者にとって有用なアプリケーションやエクスペリエンスを生み出す創設者や開発者などが含まれます。これらのユーザーグループはエコシステムの成長を促進する上で重要な役割を果たしており、長期的な維持を促すインセンティブを与える必要があります。
現在の勢いが続けば、次世代のLaunchpadは、エアドロップでは解決できなかった、暗号通貨分野におけるコミュニティローンチの問題を解決するのに役立つかもしれません。
- 核心观点:新一代Launchpad推动ICO模式升级。
- 关键要素:
- Umbra募资超额200倍。
- 平台引入信誉筛选机制。
- 分配策略转向社区导向。
- 市场影响:提升ICO质量与投资者信心。
- 时效性标注:中期影响


